Tekanan Hidrostatis Dinding Kolam Pada Kedalaman 2 M Dengan Massa Jenis Air 1
 
										G 9 8 m s 2.
Tekanan hidrostatis dinding kolam pada kedalaman 2 m dengan massa jenis air 1. Sebuah ikan hias berada di dalam akuarium yang di isi oleh air hingga setinggi 50 cm. Tentukan tekanan hidrostatis ikan jika percepatan gravitasi bumi 10 m s 2 dan massa jenis air laut adalah 1 000 kg m 2. Tekanan hidrostatis menekan ke segala arah. Suatu tabung manometer pipa u berisi zat cair lain raksa dengan massa jenis ρ dipasang pada pipa.
G percepatan grafitasi bumi m s 2 h kedalaman zat cair diukur dari permukaan ke titik yang diberi tekanan m p tekanan hidrostatis n m 2 berdasarkan rumus tekanan hidrostatis di atas diketahui bahwa tekanan hidrostatis bergantung pada massa jenis zat cair ketianggian atau ke dalaman zat cair serta percepatan grafitasi bumi. Suatu pipa u diisi dengan cairan berupa air setelah itu cairan yang tidak diketahui massa jenisnya ditambahakan kedalam pipa u sehingga terjadi kesetimbangan. Tekanan hidrostatis pada titik kedalaman berapapun tidak dipengaruhi oleh berat air luasan permukaan air ataupun bentuk bejana air. ρ 1000 kg m 3.
Setelah mengenai dinding air bergerak sejajar dinding. Tabel 6 1 massa jenis beberapa zat zat ρ kgm 3 aluminium 2 7 10 3 besi dan baja 7 8 10 3 tembaga 8 9 10 3 timah 1 13 10 4 emas 1 93 10 4 kayu 3 9 10 2 air 4 o c 1 025 10 3 air laut 6 8 10 2 bensin 6 8 10 2 udara 1 29 gas co 2 1 98. Diketahui ikan tersebut berada 10 cm dari dasar akuarium hitunglah tekanan hidrostatis yang dirasakan oleh ikan tersebut jika percepatan gravitasi bumi 9 8 m s 2 dan massa jenis air adalah 1000 kg m 3. Hasil ini juga sesuai dengan teori yang ada bahwasanya kedalaman atau ketinggian suatu benda di dalam zat cair mempengaruhi besarnya tekanan hidrostatis.
H 70 cm 0 7 m. Contoh soal tekanan hidrostatis. Pada daerah 2 luas penampang mengecil menjadi a2. Materi keseimbangan benda tegar.
Ikan berenang pada kedalaman 15 m di bawah permukaan air laut. Tekanan hidrostatis pada kedalaman h sebesar 2 6 10 3 pa. Jika percepatan gravitasi g 9 8 m s2 tentukan tekanan hidrostatik pada dasar bejana. Bila massa 1 cm 3 air adalah 1gr besar gaya yang dialami dinding.
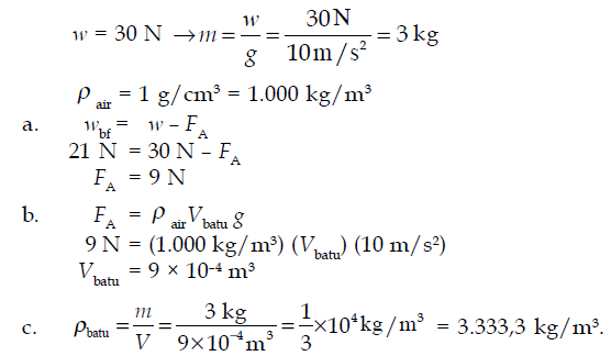
Suatu zat cair dengan massa jenis ρ mengalir melalui sebuah pipa dengan luas penampang a1 pada daerah 1. Bila massa jenis air adalah 1 10 3 kg m 3 dan percepatan gravitasinya 10m s 2 maka massa. Beratnya mejadi 15 n. Sebuah wadah berisi air massa jenis 1000 kg m 3 setinggi 70 cm.
Perhatikan bidang batas air dengan zat x pada kedalaman ini tekanan akan sama dengan kedalaman disebelah kanan yang sejajar titik tersebut. Selanjutnya pada posisi selang ke samping dengan kedalaman 3 cm 6 cm dan 9 cm memiliki tekanan hidrostatik berturut turut sebesar 250 n m 2 500 n m 2 dan 700 n m 2.
 
										
				 
										
				 
										
				 
										
				 
										
				 
										
				 
										
				 
										
				 
										
				 
										
				 
										
				 
										
				 
										
				 
										
				 
										
				 
										
				 
										
				